用多因子策略构建强大的加密资产投资组合 :数据预处理篇

前言

书接上回,我们发布了《用多因子策略构建强大的加密资产投资组合》系列文章的第一篇 - 理论基础篇,本篇是第二篇 - 数据预处理篇。

在计算因子数据前/后,以及测试单因子的有效性之前,都需要对相关数据进行处理。具体的数据预处理涉及重复值、异常值/缺失值/极端值、标准化和数据频率的处理。

一、重复值

数据相关定义:

  • 键(Key):表示一个独一无二的索引。eg. 对于一份有全部token所有日期的数据,键是“token_id/contract_address - 日期”
  • 值(Value):被键索引的对象就称之为“值”。

诊断重复值的首先需要理解数据“应当”是什么样子。通常数据的形式有:

  1. 时间序列数据(Time Series)。键是“时间”。eg.单个token5年的价格数据
  2. 横截面数据(Cross Section)。键是“个体”。eg.2023.11.01当日crypto市场所有token的价格数据
  3. 面板数据(Panel)。键是“个体-时间”的组合。eg.从2019.01.01-2023.11.01 四年所有token的价格数据。

原则:确定了数据的索引(键),就能知道数据应该在什么层面没有重复值。

检查方式:

  1. pd.DataFrame.duplicated(subset=[key1, key2, …])

    1. 检查重复值的数量:pd.DataFrame.duplicated(subset=[key1, key2, …]).sum()
    2. 抽样看重复的样本:df[df.duplicated(subset=[…])].sample()找到样本后,再用df.loc选出该索引对应的全部重复样本
  2. pd.merge(df1, df2, on=[key1, key2, …], indicator=True, validate=‘1:1’)

    1. 在横向合并的函数中,加入indicator参数,会生成_merge字段,对其使用dfm[‘_merge’].value_counts()可以检查合并后不同来源的样本数量
    2. 加入validate参数,可以检验合并的数据集中索引是否如预期一般(1 to 1、1 to many或many to many,其中最后一种情况其实等于不需要验证)。如果与预期不符,合并过程会报错并中止执行。

二、异常值/缺失值/极端值

产生异常值的常见原因:

  1. 极端情况。比如token价格0.000001$或市值仅50万美元的token,随便变动一点,就会有数十倍的回报率。
  2. 数据特性。比如token价格数据从2020年1月1日开始下载,那么自然无法计算出2020年1月1日的回报率数据,因为没有前一日的收盘价。
  3. 数据错误。数据提供商难免会犯错,比如将12元每token记录成1.2元每token。

针对异常值和缺失值处理原则:

  1. 删除。对于无法合理更正或修正的异常值,可以考虑删除。
  2. 替换。通常用于对极端值的处理,比如缩尾(Winsorizing)或取对数(不常用)。
  3. 填充。对于缺失值也可以考虑以合理的方式填充,常见的方式包括均值(或移动平均)、插值(Interpolation)、填0 df.fillna(0)、向前df.fillna(‘ffill’)/向后填充df.fillna(‘bfill’)等,要考虑填充所依赖的假设是否合。

机器学习慎用向后填充,有 Look-ahead bias 的风险

针对极端值的处理方法:

1.百分位法。

通过将顺序从小到大排列,将超过最小和最大比例的数据替换为临界的数据。对于历史数据较丰富的数据,该方法相对粗略,不太适用,强行删除固定比例的数据可能造成一定比例的损失。

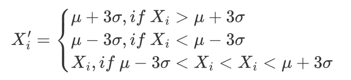
2.3σ / 三倍标准差法

标准差 σfactor 体现因子数据分布的离散程度,即波动性。利用 μ±3×σ 范围识别并替换数据集中的异常值,约有99.73% 的数据落入该范围。该方法适用前提:因子数据必须服从正态分布,即 X∼N(μ,σ2)。

其中,μ=∑ⁿᵢ₌₁⋅Xi/N, σ²=∑ⁿᵢ₌₁=(xi-μ)²/n ,因子值的合理范围是[μ−3×σ,μ+3×σ]。

对数据范围内的所有因子做出如下调整:

用多因子策略构建强大的加密资产投资组合 :数据预处理篇

该方法不足在于,量化领域常用的数据如股票价格、token价格常呈现尖峰厚尾分布,并不符合正态分布的假设,在该情况下采用3σ方法将有大量数据错误地被识别为异常值。

3.绝对值差中位数法(Median Absolute Deviation, MAD)

该方法基于中位数和绝对偏差,使处理后的数据对极端值或异常值没那么敏感。比基于均值和标准差的方法更稳健。

绝对偏差值的中位数 MAD=median ( ∑ⁿᵢ₌₁(Xi - Xmedian) )

因子值的合理范围是[ Xmedian-n×MAD,Xmedian + n×MAD]。对数据范围内的所有因子做出如下调整:

用多因子策略构建强大的加密资产投资组合 :数据预处理篇

处理因子数据极端值情况

class Extreme(object): def init(s, ini_data): s.ini_data = ini_data

def three_sigma(s,n=3):
    mean = s.ini_data.mean()
    std = s.ini_data.std()
    low = mean - n*std
    high = mean + n*std
    return np.clip(s.ini_data,low,high)

def mad(s, n=3):
    median = s.ini_data.median()
    mad_median = abs(s.ini_data - median).median()
    high = median + n * mad_median
    low = median - n * mad_median
    return np.clip(s.ini_data, low, high)

def quantile(s,l = 0.025, h = 0.975):
    low = s.ini_data.quantile(l)
    high = s.ini_data.quantile(h)
    return np.clip(s.ini_data, low, high)

三、标准化

1.Z-score标准化

  • 前提:X N(μ,σ)
  • 由于使用了标准差,该方法对于数据中的异常值较为敏感

x’ᵢ=(x−μ)/σ=(X−mean(X))/std(X)2.最大最小值差标准化(Min-Max Scaling)

将每个因子数据转化为在(0,1) 区间的数据,以便比较不同规模或范围的数据,但它并不改变数据内部的分布,也不会使总和变为1。

  • 由于考虑极大极小值,对异常值敏感
  • 统一量纲,利于比较不同维度的数据。

x’ᵢ=(xᵢ−min(x))/max(x)−min(x)3.排序百分位(Rank Scaling)

将数据特征转换为它们的排名,并将这些排名转换为介于0和1之间的分数,通常是它们在数据集中的百分位数。*

  • 由于排名不受异常值影响,该方法对异常值不敏感。
  • 不保持数据中各点之间的绝对距离,而是转换为相对排名。

NormRankᵢ=(Rankₓᵢ−min(Rankₓᵢ))/max(Rankₓ)−min(Rankₓ)=Rankₓᵢ/N

其中,min(Rankₓ)=0, N 为区间内数据点的总个数。

标准化因子数据

class Scale(object): def init(s, ini_data,date): s.ini_data = ini_data s.date = date

def zscore(s):
    mean = s.ini_data.mean()
    std = s.ini_data.std()
    return s.ini_data.sub(mean).div(std)
  
def maxmin(s):
    min = s.ini_data.min()
    max = s.ini_data.max()
    return s.ini_data.sub(min).div(max - min)

def normRank(s):
    # 对指定列进行排名,method='min'意味着相同值会有相同的排名,而不是平均排名
    ranks = s.ini_data.rank(method='min') 
    return ranks.div(ranks.max())

四、数据频率

有时获得的数据并非我们分析所需要的频率。比如分析的层次为月度,原始数据的频率为日度,此时就需要用到“下采样”,即聚合数据为月度。

下采样

指的是将一个集合里的数据聚合为一行数据,比如日度数据聚合为月度。此时需要考虑每个被聚合的指标的特性,通常的操作有:

  • 第一个值/最后一个值
  • 均值/中位数
  • 标准差

上采样

指的是将一行数据的数据拆分为多行数据,比如年度数据用在月度分析上。这种情况一般就是简单重复即可,有时需要将年度数据按比例归集于各个月份。

Falcon ( /)是新一代的Web3投资基础设施,它基于多因子模型,帮助用户“选”、“买”、“管”、“卖”加密资产。Falcon在2022年6月由Lucida所孵化。

更多内容可访问

此页面可能包含第三方内容,仅供参考(非陈述/保证),不应被视为 Gate 认可其观点表述,也不得被视为财务或专业建议。详见声明
  • 赞赏
  • 评论
  • 转发
  • 分享
评论
0/400
暂无评论
  • 热门 Gate Fun查看更多
  • 市值:$3638.78持有人数:2
    0.25%
  • 市值:$3575.86持有人数:1
    0.00%
  • 市值:$3579.31持有人数:1
    0.00%
  • 市值:$3607.43持有人数:3
    0.14%
  • 市值:$3548.27持有人数:1
    0.00%
交易,随时随地
qrCode
扫码下载 Gate App
社群列表
简体中文
  • 简体中文
  • English
  • Tiếng Việt
  • 繁體中文
  • Español
  • Русский
  • Français (Afrique)
  • Português (Portugal)
  • Bahasa Indonesia
  • 日本語
  • بالعربية
  • Українська
  • Português (Brasil)